Meet with a notary public and draft your document
Meet a licensed professional online to draft your document. Get it completed in minutes.
$99.95
$249.00
• Save: $149.05 (60%)
Robert Onley
Featured NotaryPro Expert in Toronto
Featured NotaryPro Expert in Toronto
Other Names:
How it Works
1
Fill out our simple
online form with your
information.
2
Review and approve
the generated
document.
3
Once your document
is ready, you can
Notarise!
Meet with a notary public and draft your document
Meet a licensed professional online to draft your document. Get it completed in minutes.
$99.95
$249.00
• Save: $149.05 (60%)
Robert Onley
Featured NotaryPro Expert in Toronto
Featured NotaryPro Expert in Toronto
Contents
Clara
Do you have Questions about your CRA Affidavit - Transfer of a Small Business or Corporation Document ?
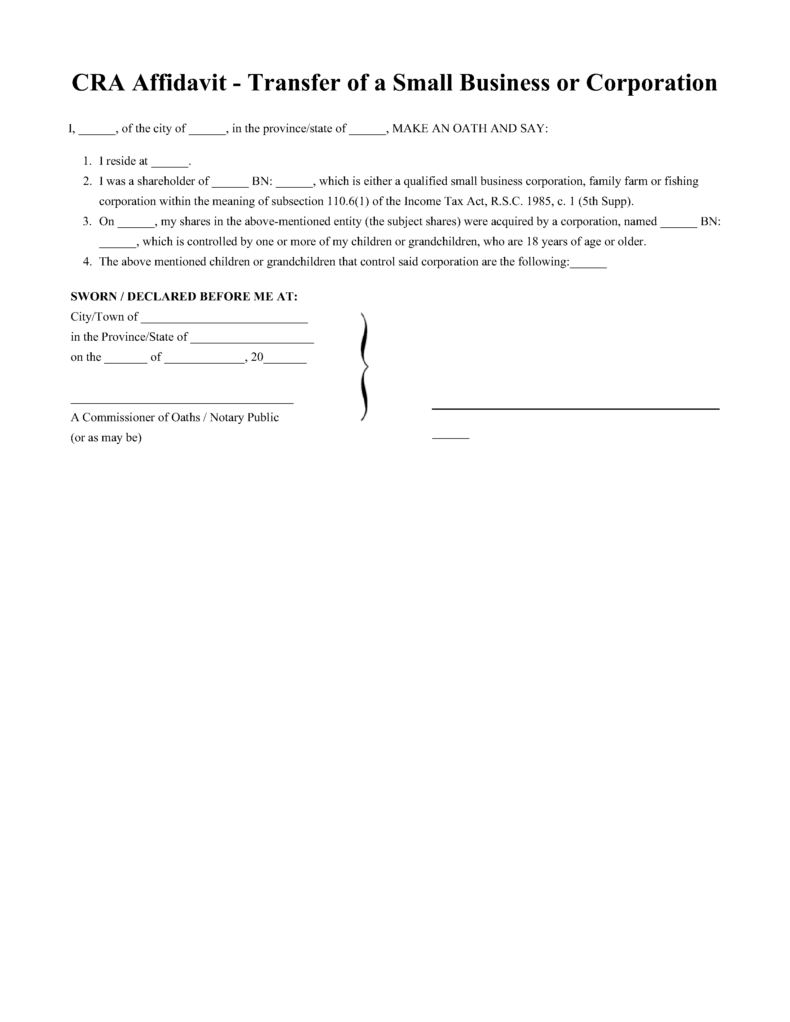
CRA Affidavit - Transfer of a Small Business or Corporation
Thinking
Highlight clause
for instant explanation
Clara Explainer
Clara Explainer