NotaryPro
  • Online Notary Services
  • Find a Notary
  • Free Legal Templates
  • For Business
  • Sign In
  • Get Started
Book Now
Try Online Notary
NotaryPro
  • Online Notary Services
  • Find a Notary
  • Free Legal Templates
  • For Business
  • Sign In
  • Get Started
  • Home
  • Notary Public Services
    • Services Overview
    • Online Notary Services
    • Find a Notary Near You
    • Notary for Real Estate Closings
    • Authentication & Legalization (Apostille Certification)
    • Mobile Notary
    • Wills & Power of Attorney
  • For Businesses
    • Online Notary Services for Business
    • Bulk Savings: Bulk Notary Service Packages
    • Notary Services for Construction
    • Notary Services for Real Estate
    • Affiliate Program
    • Clio Integration Landing Page
  • Free Legal Templates
  • Prices
  • Resources
    • Articles & Guides
    • Our Partners
    • Learning Center
    • About Us
  • Contact Us
Notarize online Find a notary Join our team Business Sign In
Menu plume
1 888 313 0909 [email protected]
Home Templates Legacy & Succession Free Affidavit of Execution Template
213+ People have utilised this Template

Free Affidavit of Execution Template

A formal document used to verify that a Will, Deed, or Contract was signed in accordance with legal requirements. This template includes the specific declaration for the witness to sign, confirming the date, location, and parties present during the execution of the original document. Designed for easy notarization and submission to courts or land titles offices.

PDF
Word
Start For Free Pay only when you Notarise
NOTARYPRO GUARANTEE
Preview

Meet with a notary public and draft your document

Meet a licensed professional online to draft your document. Get it completed in minutes.

$99.95 $249.00 • Save: $149.05 (60%)
Book An Appointment
Robert Onley
Robert Onley
Featured NotaryPro Expert in Toronto
white video play button See how our experts help you draft

Related Documents

Users who drafted Affidavit of Execution in Ontario also made:

Codicil to the Last Will and Testament
Other Names: Affidavit of Execution of a Will Self-Proving Affidavit Witness Affidavit Proof of Execution Affidavit of Witness Evidence of Witness Certificate of Execution Notarized Witness Statement
NOTARYPRO GUARANTEE

How it Works

1

Fill out our simple
online form with your
information.

2

Review and approve
the generated
document.

3

Once your document
is ready, you can
Notarise!

Meet with a notary public and draft your document

Meet a licensed professional online to draft your document. Get it completed in minutes.

$99.95 $249.00 • Save: $149.05 (60%)
Book An Appointment
Robert Onley
Robert Onley
Featured NotaryPro Expert in Toronto
white video play button See how our experts help you draft

Contents

  • What is an Affidavit of Execution in Ontario?
  • When Do You Need an Affidavit of Execution?
  • Commissioning an Affidavit of Execution
  • Details to Include in Your Affidavit of Execution

What is an Affidavit of Execution in Ontario?

In Ontario, an Affidavit of Execution is a sworn legal document that proves a Will was properly signed and witnessed. It confirms that the testator (individual making the Will) signed the Will in the presence of witnesses, in accordance with legal requirements.

An Affidavit of Execution:

  • Ensures the Will was properly signed and witnessed.
  • Reduces the risk of challenges and disputes regarding the Will’s execution.
  • Simplifies the probate process for your executor.
Clara

Do you have Questions about your Affidavit of Execution in Ontario Document ?

Create Affidavit of Execution in Ontario Now
This AI is experimental and may not always provide accurate information.
For personalized answers, Ask a Legal Pro.

When Do You Need an Affidavit of Execution?

In Ontario, you need an Affidavit of Execution when a Will needs to go through probate. Probate is a court process that confirms a Will is valid and authorizes the executor to manage and distribute the deceased’s assets.

In practice, most Ontario Wills that include property or significant assets will require probate; therefore, preparing for probate in advance is essential. Financial institutions, land registry offices, and other organizations may require probate before releasing or transferring assets.

If probate is required and no Affidavit of Execution is available, Ontario courts typically require the executor to find an original witness to the Will. This witness must then sign an Affidavit of Execution after the fact.

Locating witnesses can cause delays, increase legal costs, and complicate matters, especially if they’ve moved, cannot be located, or have passed away.

Preparing an Affidavit of Execution in advance makes the probate process much smoother and easier on your executor during a difficult time.

Commissioning an Affidavit of Execution

An Affidavit of Execution must be commissioned by an authorized official, like a notary public or commissioner of oaths, to be valid.

During commissioning, a witness swears or affirms that the contents of their Affidavit are true before the official. They’ll sign the Affidavit while an official witnesses their signature, and the official will sign it as well. See our blog to learn more about the process of commissioning.

You can meet with a notary public online to have your Affidavit of Execution commissioned in 7 minutes, from anywhere.

Providing false or inaccurate information in an Affidavit may constitute perjury, a criminal offence in Canada.

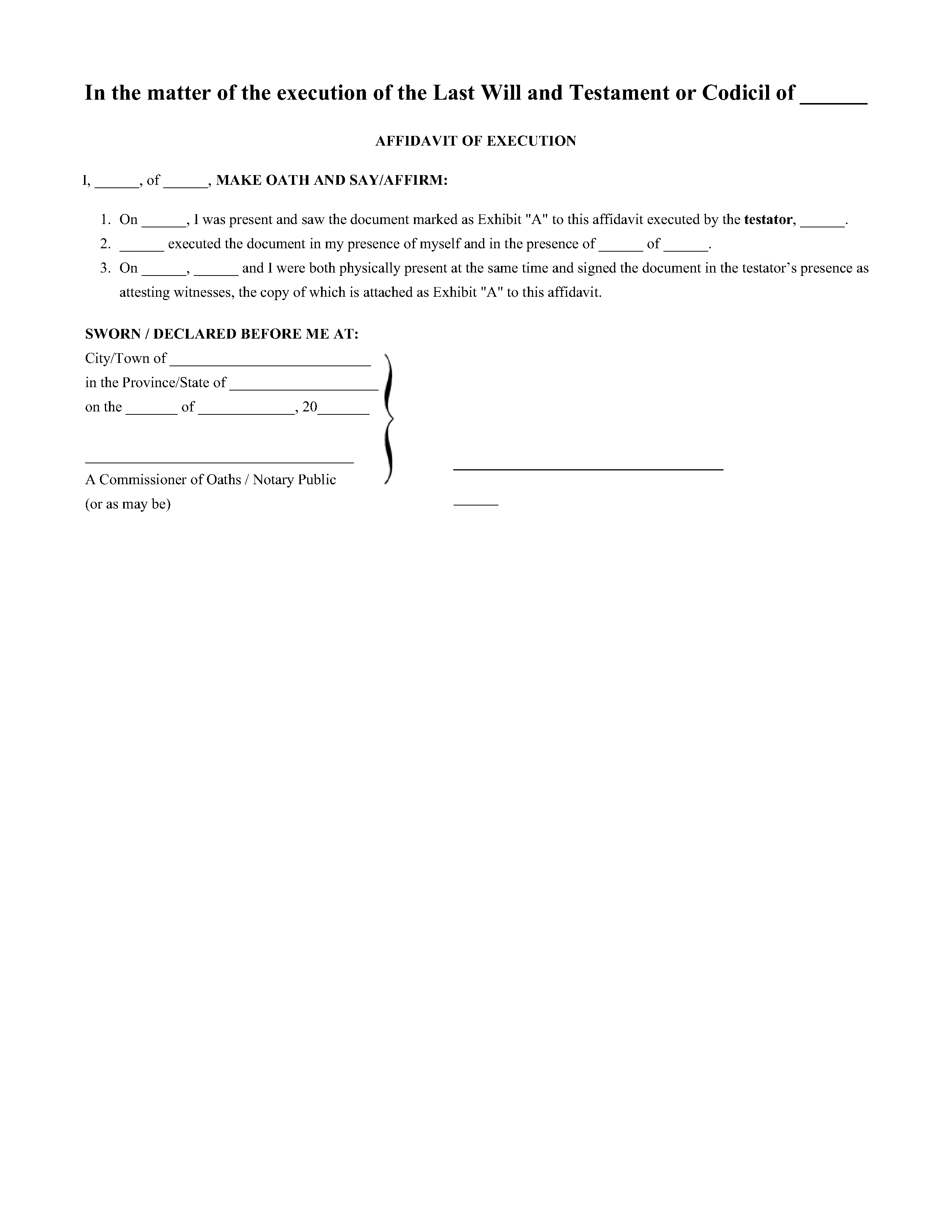
Details to Include in Your Affidavit of Execution

An Affidavit of Execution is a relatively simple document, but it must include specific information, including:

  • The testator’s name (the individual who wrote the Will) and address
  • The name and address of the witness signing the Affidavit
  • Confirmation that the witness saw the testator sign the Will
  • The date the Will was signed and witnessed
  • The date the Affidavit is sworn or affirmed and signed
  • The original Will is attached as an exhibit

Storing the Affidavit of Execution with the Will helps ensure a smoother probate process.

Related Documents

Users who drafted Affidavit of Execution in Ontario also made:

Codicil to the Last Will and Testament
Affidavit of Execution in Ontario
Preview Document Start Your Document
Thinking
Highlight clause Highlight Demo for instant explanation
Clara Explainer

Clara Explainer

NOTARYPRO GUARANTEE

Affidavit of Execution in Ontario

3 Mins Filling time
PDF WORD
213+ Downloads
Start Your Free Draft

Your in-person or online Notary Public

Let us make it easy for you.

Send us a message
Site map
  • Home
  • Our Notary Services
  • Our Prices
  • Find a Document
  • Our Partners
  • Contact Us
  • About Us
  • System Status
  • Press Room
  • Careers
Services
  • Online Notary Services
  • Find a Notary
  • Find a Document
  • Service Area
  • Create your Will
For clients
  • Contact Us
  • Our Blog
  • FAQ
  • Our Reviews
  • Terms and Conditions
  • Privacy Policy
  • Data and Security
For notaries
  • Join Us
  • Training Login
  • Contact Us

Business Solutions
  • Affiliate Program
  • Online Notary Services for Business
  • Business Solutions and Volume Pricing Program

NotaryPro Technologies Inc. © 2024 All rights reserved

NotaryPro provides in-person, virtual commissioning and virtual witnessing services in compliance with the laws and regulations of Ontario, Canada. Our services are performed by licensed legal professionals, including commissioners for taking affidavits and other authorized professionals, who are duly authorized to administer oaths, affirmations, and statutory declarations in accordance with the Commissioners for Taking Affidavits Act (Ontario) and related provincial legislation.

Online or remote notarization is not yet explicitly regulated under Ontario law. As a result, NotaryPro does not provide online notarial services, including the digital notarization of documents. Any references on our platform to terms such as ""notary,"" ""online notary,"" ""notarize online,"" or similar expressions are used strictly in an informal and descriptive manner. These references relate exclusively to our legally recognized remote/virtual commissioning and virtual witnessing services, which are distinct from notarial acts.

NotaryPro is not a law firm and does not provide legal advice, legal representation, or legal opinions. While we facilitate virtual commissioning and virtual witnessing services, we do not offer legal guidance on the validity, enforceability, or acceptance of documents by third parties.

If you require legal advice regarding the execution, validity, or use of a document, we strongly recommend consulting a qualified lawyer or other legal professionals. Additionally, before proceeding with virtual commissioning, virtual witnessing, or electronic document execution, it is advisable to verify acceptance with the intended recipient(s), such as courts, government agencies, or other institutions.