NotaryPro
  • Online Notary Services
  • Find a Notary
  • Free Legal Templates
  • For Business
  • Sign In
  • Get Started
Book Now
Try Online Notary
NotaryPro
  • Online Notary Services
  • Find a Notary
  • Free Legal Templates
  • For Business
  • Sign In
  • Get Started
  • Home
  • Notary Public Services
    • Services Overview
    • Online Notary Services
    • Find a Notary Near You
    • Notary for Real Estate Closings
    • Authentication & Legalization (Apostille Certification)
    • Mobile Notary
    • Wills & Power of Attorney
  • For Businesses
    • Online Notary Services for Business
    • Bulk Savings: Bulk Notary Service Packages
    • Notary Services for Construction
    • Notary Services for Real Estate
    • Affiliate Program
    • Clio Integration Landing Page
  • Free Legal Templates
  • Prices
  • Resources
    • Articles & Guides
    • Our Partners
    • Learning Center
    • About Us
  • Contact Us
Notarize online Find a notary Join our team Business Sign In
Menu plume
1 888 313 0909 [email protected]
Home Templates Identity & Personal Status Vaccine Exemption Affidavit | Free Template
113+ People have utilised this Template

Vaccine Exemption Affidavit | Free Template

PDF
Word
Start For Free Pay only when you Notarise
NOTARYPRO GUARANTEE
Preview

Related Documents

Users who drafted Vaccine Exemption Affidavit also made:

Proof of Vaccination Affidavit
Statement of Conscience or Religious Belief
Vaccine Exemption Affidavit
Other Names: Vaccine Exemption Affidavit
NOTARYPRO GUARANTEE

How it Works

1

Fill out our simple
online form with your
information.

2

Review and approve
the generated
document.

3

Once your document
is ready, you can
Notarise!

Contents

  • What is a Vaccine Exemption Affidavit?
  • When Do I Need a Vaccine Exemption Affidavit?
  • Purpose of a Vaccine Exemption Affidavit
  • What Details Should My Vaccine Exemption Affidavit Contain?
  • Commissioning a Vaccine Exemption Affidavit
  • Common Grounds for Vaccine Exemptions
  • Frequently Asked Questions

What is a Vaccine Exemption Affidavit?

A Vaccine Exemption Affidavit is a legal document that formalizes your request to be exempt from a vaccine. It’s typically used for vaccine requirements imposed by employers, institutions, and organizations.

This Affidavit doesn’t automatically grant a vaccine exemption, but it can be part of the process of obtaining one. You must sign it in the presence of an authorized official and swear or affirm that the information you’ve provided is truthful.

Note: This Affidavit doesn’t replace applicable government-mandated vaccination, certification, or public health requirements.

Clara

Do you have Questions about your Vaccine Exemption Affidavit Document ?

Create Vaccine Exemption Affidavit Now
This AI is experimental and may not always provide accurate information.
For personalized answers, Ask a Legal Pro.

When Do I Need a Vaccine Exemption Affidavit?

You may require a Vaccine Exemption Affidavit for a variety of reasons across several contexts. You may need this Affidavit when employers or institutions impose vaccination policies or require vaccination records. These employers and institutions include but aren’t limited to the following:

  • Private employers with workplace vaccination policies;
  • Universities, colleges, and post-secondary institutions with campus access or on-site housing;
  • Professional programs, internships, or practicum placements;
  • Regulated professions or licensing bodies;
  • Healthcare-adjacent workplaces;
  • Government contractors or federally regulated workplaces;
  • International employers or overseas institutions; or
  • Airlines, transportation providers, or travel-related organizations.

Purpose of a Vaccine Exemption Affidavit

A Vaccine Exemption Affidavit outlines the reason you are requesting an exemption from a vaccine. It serves as a written record of your request and stated position. The document allows you to outline your reason(s) for requesting an exemption while confirming that the details you’ve provided are accurate.

This Affidavit enables recipient organizations to keep your request on file and follow any procedural requirements. Organizations may require it for internal review, compliance, or accommodation purposes.

Submitting an Affidavit does not guarantee a vaccine exemption will be granted or override applicable public health laws or organizational policies.

What Details Should My Vaccine Exemption Affidavit Contain?

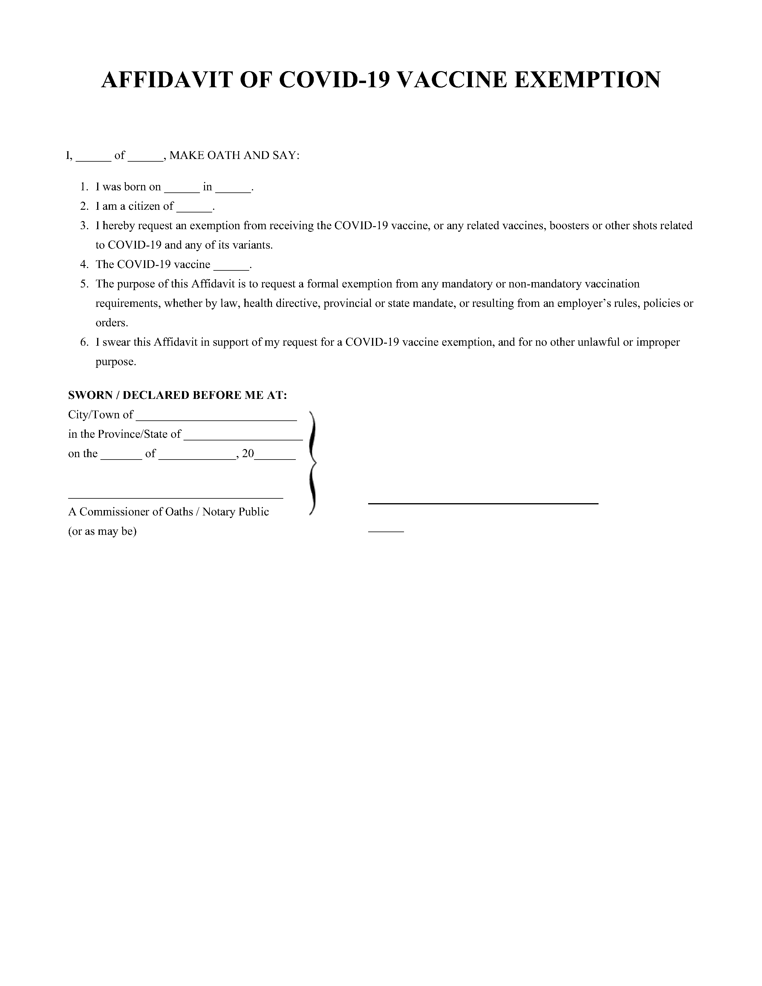
Your Vaccine Exemption Affidavit must include accurate personal information and a clear reason explaining why you are requesting an exemption. You’ll need to include the details below in your Affidavit:

  • Full legal name
  • Current address
  • Date and location of birth
  • Citizenship status
  • A detailed reason for the vaccine exemption request

Depending on the recipient organization, you may need to provide supporting documentation to verify facts stated. This documentation can include:

  • Proof of identity (e.g., copy of a passport or government-issued ID)
  • Proof of Canadian citizenship or permanent residency
  • Supporting medical documentation, if applicable

Commissioning a Vaccine Exemption Affidavit

Your Vaccine Exemption Affidavit must be commissioned by an authorized official, like a notary public or commissioner of oaths. This is a necessary step, and without it, your Affidavit isn’t valid.

You can meet with a notary online to have your Affidavit commissioned in 7 minutes, from anywhere with a Wi-Fi connection.

How Commissioning Your Affidavit Works

You can commission your Affidavit online through a secure video appointment. During your online notary appointment, the following will take place:

  • You’ll present a piece of valid, government-issued ID to verify your identity.
  • You’ll swear or affirm that the contents of your Affidavit are true.
  • You’ll confirm that you understand the document and are signing voluntarily.
  • You’ll sign and date the Affidavit while a notary witnesses in real time.
  • A notary signs and applies their official stamp or seal.

To learn more about the commissioning process, check out our guide.

Note: Knowingly providing false information may be considered perjury under Canada’s Criminal Code.

Common Grounds for Vaccine Exemptions

Depending on the organization and its applicable policies, vaccine exemption requests are commonly based on:

  • Documented medical contraindications: Allergic reactions or other medical conditions where vaccination is not recommended by a healthcare professional.
  • Temporary medical deferrals: Vaccinations are postponed due to a medical condition, treatment, or recovery period.
  • Sincerely held religious beliefs: Vaccination conflicts with religious convictions or practices.
  • Creed-based beliefs: Vaccination conflicts with sincerely held beliefs recognized under human rights legislation.
  • Disability-related grounds: If vaccination requirements create barriers that call for assessment and potential accommodation.
  • Participation in regulated programs or placements: Internships, practicums, or clinical settings where exemption policies differ from general workplace policies.

Note: Acceptance of a Vaccine Exemption Affidavit is entirely at the discretion of the recipient organization.

Frequently Asked Questions

Eligibility for a vaccine exemption varies based on specific criteria from healthcare or legal authorities.

It depends on the organization receiving your Affidavit. It’s best to consult with the recipient organization to ensure the acceptance of this document.

Related Documents

Users who drafted Vaccine Exemption Affidavit also made:

Proof of Vaccination Affidavit
Statement of Conscience or Religious Belief
Vaccine Exemption Affidavit
Vaccine Exemption Affidavit
Preview Document Start Your Document
Thinking
Highlight clause Highlight Demo for instant explanation
Clara Explainer

Clara Explainer

NOTARYPRO GUARANTEE

Vaccine Exemption Affidavit

3 Mins Filling time
PDF WORD
113+ Downloads
Start Your Free Draft

Your in-person or online Notary Public

Let us make it easy for you.

Send us a message
Site map
  • Home
  • Our Notary Services
  • Our Prices
  • Find a Document
  • Our Partners
  • Contact Us
  • About Us
  • System Status
  • Press Room
  • Careers
Services
  • Online Notary Services
  • Find a Notary
  • Find a Document
  • Service Area
  • Create your Will
For clients
  • Contact Us
  • Our Blog
  • FAQ
  • Our Reviews
  • Terms and Conditions
  • Privacy Policy
  • Data and Security
For notaries
  • Join Us
  • Training Login
  • Contact Us

Business Solutions
  • Affiliate Program
  • Online Notary Services for Business
  • Business Solutions and Volume Pricing Program

NotaryPro Technologies Inc. © 2024 All rights reserved

NotaryPro provides in-person, virtual commissioning and virtual witnessing services in compliance with the laws and regulations of Ontario, Canada. Our services are performed by licensed legal professionals, including commissioners for taking affidavits and other authorized professionals, who are duly authorized to administer oaths, affirmations, and statutory declarations in accordance with the Commissioners for Taking Affidavits Act (Ontario) and related provincial legislation.

Online or remote notarization is not yet explicitly regulated under Ontario law. As a result, NotaryPro does not provide online notarial services, including the digital notarization of documents. Any references on our platform to terms such as ""notary,"" ""online notary,"" ""notarize online,"" or similar expressions are used strictly in an informal and descriptive manner. These references relate exclusively to our legally recognized remote/virtual commissioning and virtual witnessing services, which are distinct from notarial acts.

NotaryPro is not a law firm and does not provide legal advice, legal representation, or legal opinions. While we facilitate virtual commissioning and virtual witnessing services, we do not offer legal guidance on the validity, enforceability, or acceptance of documents by third parties.

If you require legal advice regarding the execution, validity, or use of a document, we strongly recommend consulting a qualified lawyer or other legal professionals. Additionally, before proceeding with virtual commissioning, virtual witnessing, or electronic document execution, it is advisable to verify acceptance with the intended recipient(s), such as courts, government agencies, or other institutions.