NotaryPro
  • Online Notary Services
  • Find a Notary
  • Free Legal Templates
  • For Business
  • Sign In
  • Get Started
Book Now
Try Online Notary
NotaryPro
  • Online Notary Services
  • Find a Notary
  • Free Legal Templates
  • For Business
  • Sign In
  • Get Started
  • Home
  • Notary Public Services
    • Services Overview
    • Online Notary Services
    • Find a Notary Near You
    • Notary for Real Estate Closings
    • Authentication & Legalization (Apostille Certification)
    • Mobile Notary
    • Wills & Power of Attorney
  • For Businesses
    • Online Notary Services for Business
    • Bulk Savings: Bulk Notary Service Packages
    • Notary Services for Construction
    • Notary Services for Real Estate
    • Affiliate Program
    • Clio Integration Landing Page
  • Free Legal Templates
  • Prices
  • Resources
    • Articles & Guides
    • Our Partners
    • Learning Center
    • About Us
  • Contact Us
Notarize online Find a notary Join our team Business Sign In
Menu plume
1 888 313 0909 [email protected]
Home Templates Identity & Personal Status Free Sworn Principal Residence Attestation Template
29+ People have utilised this Template

Free Sworn Principal Residence Attestation Template

A formal legal document used by a property owner to affirm that a specific property is their main residence. Commonly used for tax purposes, municipal residency audits, and mortgage applications. This template includes sections for property identification, occupancy dates, and a formal notary jurat for official verification.

PDF
Word
Start For Free Pay only when you Notarise
NOTARYPRO GUARANTEE
Preview

Meet with a notary public and draft your document

Meet a licensed professional online to draft your document. Get it completed in minutes.

$99.95 $249.00 • Save: $149.05 (60%)
Book An Appointment
Robert Onley
Robert Onley
Featured NotaryPro Expert in Toronto
white video play button See how our experts help you draft

Related Documents

Users who drafted Principal Residence Attestation also made:

Other Names: Parental Residence Declaration Declaration of Occupancy Affidavit of Principal Residence Primary Residence Proof
NOTARYPRO GUARANTEE

How it Works

1

Fill out our simple
online form with your
information.

2

Review and approve
the generated
document.

3

Once your document
is ready, you can
Notarise!

Meet with a notary public and draft your document

Meet a licensed professional online to draft your document. Get it completed in minutes.

$99.95 $249.00 • Save: $149.05 (60%)
Book An Appointment
Robert Onley
Robert Onley
Featured NotaryPro Expert in Toronto
white video play button See how our experts help you draft

Contents

  • What is a Sworn Principal Residence Attestation?
  • What is a Principal Residence?
  • When Do You Need a Sworn Principal Residence Attestation?
  • Details Required in a Sworn Principal Residence Attestation
  • Commissioning a Sworn Principal Residence Attestation
  • Frequently Asked Questions

What is a Sworn Principal Residence Attestation?

A Sworn Principal Residence Attestation is a sworn legal document that affirms that a specific property is your principal residence. It allows you to formally declare that you reside in a given property and treat it as your primary place of residence.

You may need this Attestation if a sworn declaration of residency is requested for the following purposes:

  • Property transfers
  • Vacancy tax declarations
  • Municipal compliance programs
  • Lender requirements
  • Estate administration

You must swear or affirm this document before a notary public or commissioner of oaths to make it legally valid.

A Sworn Principal Residence Attestation doesn’t determine your eligibility under a specific government program. Instead, it provides a formal sworn declaration of your residency status.

Note: This template is intended for situations where an organization specifically requests a sworn declaration of residency. Some government departments and municipalities may require their own prescribed forms.

Clara

Do you have Questions about your Principal Residence Attestation Document ?

Create Principal Residence Attestation Now
This AI is experimental and may not always provide accurate information.
For personalized answers, Ask a Legal Pro.

What is a Principal Residence?

In Canada, a principal residence is the home you primarily live in during the year. That said, property doesn’t need to be occupied year-round to qualify. The property doesn’t need to be occupied year-round, but must be ordinarily inhabited at some point throughout the year.

Under Canada Revenue Agency (CRA) rules for tax purposes, a property can qualify as your principal residence for a given year if:

  • You, your spouse or common-law partner, or your child ordinarily inhabited it during the year,
  • You own the property, either individually or jointly with another person; and
  • You designate it as your principal residence for tax purposes.

A principal residence can include the following:

  • A house
  • A condominium
  • A cottage
  • A townhouse
  • A mobile home
  • A housing unit in a duplex or apartment building

When Do You Need a Sworn Principal Residence Attestation?

You may need a Sworn Principal Residence Attestation in the following situations:

  • Supporting documentation related to a principal residence exemption claim
  • Responding to a city audit related to property occupancy
  • Responding to government or tax authority inquiries regarding residency
  • Applying for a first-time home buyer rebate
  • Confirming occupancy for provincial speculation or foreign buyer tax compliance
  • Transferring property between related parties
  • Confirming occupancy requirements for rebate, exemption, or compliance programs
  • Declaring a property as your primary residence for municipal vacancy tax programs
  • Confirming residency for estate administration or probate matters
  • Proving to a lender that a property will be owner-occupied
  • Refinancing or changing mortgage classifications
  • Dealing with a condominium board or housing authority

Always confirm the exact requirements of the requesting authority, as some programs require a specific, prescribed form rather than a general Attestation.

Details Required in a Sworn Principal Residence Attestation

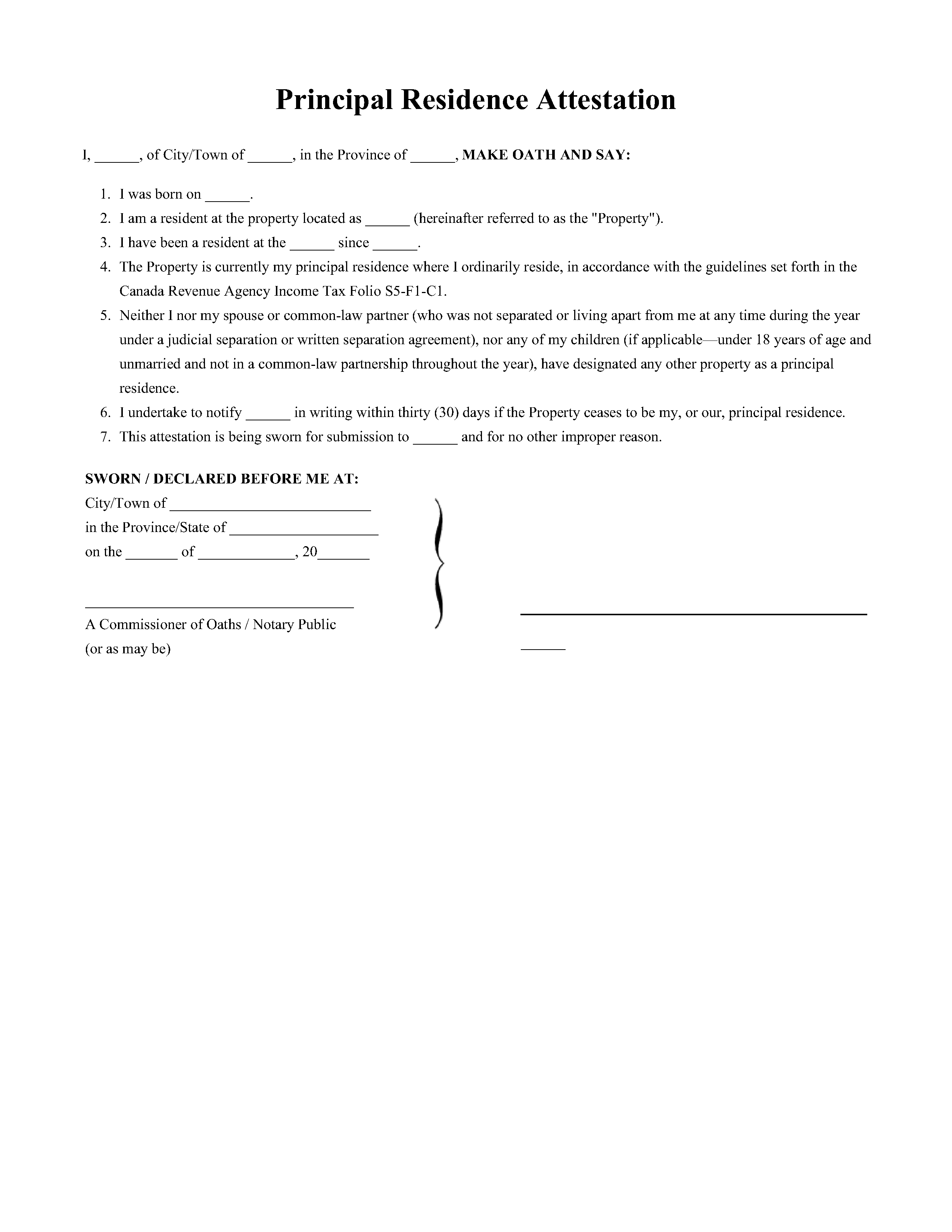
A Sworn Principal Residence Attestation should include the following information:

Your Information

  • Your full legal name
  • Your date of birth
  • Your current residential address
  • The date you began living at the property

Details About the Property

  • The property’s municipal address
  • A legal description of the property (if required)
  • A statement confirming that the property is your principal residence
  • Confirmation that you ordinarily inhabit the property
  • The time period during which the property has been your principal residence
  • Whether you own the property solely or jointly
  • The reason the declaration is being made (e.g., vacancy tax compliance, lender requirements, property transfer, etc.)

Commissioning

  • Your signature
  • Date and location of signing
  • Signature and stamp of a notary public or commissioner of oaths

Commissioning a Sworn Principal Residence Attestation

Your Sworn Principal Residence Attestation must be commissioned by an authorized official, like a notary public or commissioner of oaths. This is a necessary step, and without it, your Attestation isn’t valid.

You can meet with a notary online to have your Attestation commissioned in 7 minutes, from anywhere with a Wi-Fi connection.

How Commissioning Your Attestation Works

You can commission your Attestation online through a secure video appointment. During your online notary appointment, the following will take place:

  • You’ll present a piece of valid, government-issued ID to verify your identity.
  • You’ll swear or affirm that the contents of your Attestation are true.
  • You’ll confirm that you understand the document and are signing voluntarily.
  • You’ll sign and date the Attestation while a notary witnesses in real time.
  • A notary signs and applies their official stamp or seal.

To learn more about the commissioning process, check out our guide.

Note: Knowingly providing false information may be considered perjury under Canada’s Criminal Code.

Frequently Asked Questions

No. You can designate only one property per family unit per year as a principal residence for capital gains tax purposes. A family unit includes you, your spouse or common-law partner, and your minor children.

If you convert your principal residence into a rental or income-producing property, special tax rules may apply. Sometimes, CRA treats this as though you sold the property at its fair market value at the time of conversion. This could trigger capital gains tax unless you file a specific election.

Related Documents

Users who drafted Principal Residence Attestation also made:

Principal Residence Attestation
Preview Document Start Your Document
Thinking
Highlight clause Highlight Demo for instant explanation
Clara Explainer

Clara Explainer

NOTARYPRO GUARANTEE

Principal Residence Attestation

4 Mins Filling time
PDF WORD
29+ Downloads
Start Your Free Draft

Your in-person or online Notary Public

Let us make it easy for you.

Send us a message
Site map
  • Home
  • Our Notary Services
  • Our Prices
  • Find a Document
  • Our Partners
  • Contact Us
  • About Us
  • System Status
  • Press Room
  • Careers
Services
  • Online Notary Services
  • Find a Notary
  • Find a Document
  • Service Area
  • Create your Will
For clients
  • Contact Us
  • Our Blog
  • FAQ
  • Our Reviews
  • Terms and Conditions
  • Privacy Policy
  • Data and Security
For notaries
  • Join Us
  • Training Login
  • Contact Us

Business Solutions
  • Affiliate Program
  • Online Notary Services for Business
  • Business Solutions and Volume Pricing Program

NotaryPro Technologies Inc. © 2024 All rights reserved

NotaryPro provides in-person, virtual commissioning and virtual witnessing services in compliance with the laws and regulations of Ontario, Canada. Our services are performed by licensed legal professionals, including commissioners for taking affidavits and other authorized professionals, who are duly authorized to administer oaths, affirmations, and statutory declarations in accordance with the Commissioners for Taking Affidavits Act (Ontario) and related provincial legislation.

Online or remote notarization is not yet explicitly regulated under Ontario law. As a result, NotaryPro does not provide online notarial services, including the digital notarization of documents. Any references on our platform to terms such as ""notary,"" ""online notary,"" ""notarize online,"" or similar expressions are used strictly in an informal and descriptive manner. These references relate exclusively to our legally recognized remote/virtual commissioning and virtual witnessing services, which are distinct from notarial acts.

NotaryPro is not a law firm and does not provide legal advice, legal representation, or legal opinions. While we facilitate virtual commissioning and virtual witnessing services, we do not offer legal guidance on the validity, enforceability, or acceptance of documents by third parties.

If you require legal advice regarding the execution, validity, or use of a document, we strongly recommend consulting a qualified lawyer or other legal professionals. Additionally, before proceeding with virtual commissioning, virtual witnessing, or electronic document execution, it is advisable to verify acceptance with the intended recipient(s), such as courts, government agencies, or other institutions.