NotaryPro
  • Online Notary Services
  • Find a Notary
  • Free Legal Templates
  • For Business
  • Sign In
  • Get Started
Book Now
Try Online Notary
NotaryPro
  • Online Notary Services
  • Find a Notary
  • Free Legal Templates
  • For Business
  • Sign In
  • Get Started
  • Home
  • Notary Public Services
    • Services Overview
    • Online Notary Services
    • Find a Notary Near You
    • Notary for Real Estate Closings
    • Authentication & Legalization (Apostille Certification)
    • Mobile Notary
    • Wills & Power of Attorney
  • For Businesses
    • Online Notary Services for Business
    • Bulk Savings: Bulk Notary Service Packages
    • Notary Services for Construction
    • Notary Services for Real Estate
    • Affiliate Program
    • Clio Integration Landing Page
  • Free Legal Templates
  • Prices
  • Resources
    • Articles & Guides
    • Our Partners
    • Learning Center
    • About Us
  • Contact Us
Notarize online Find a notary Join our team Business Sign In
Menu plume
1 888 313 0909 [email protected]
Home Templates Business & Professional Affairs Free Affidavit of Publication Template
20+ People have utilised this Template

Free Affidavit of Publication Template

A sworn declaration provided by a newspaper or printer affirming that a specific notice was published. Essential for probate, foreclosures, name changes, and corporate filings. This template includes the required fields for publication dates, newspaper name, and the notary jurat to certify the publisher’s signature.

PDF
Word
Start For Free Pay only when you Notarise
NOTARYPRO GUARANTEE
Preview

Meet with a notary public and draft your document

Meet a licensed professional online to draft your document. Get it completed in minutes.

$99.95 $249.00 • Save: $149.05 (60%)
Book An Appointment
Robert Onley
Robert Onley
Featured NotaryPro Expert in Toronto
white video play button See how our experts help you draft

Related Documents

Users who drafted Affidavit of Publication also made:

Affidavit
Other Names: Proof of Publication Publisher’s Affidavit Affidavit of Printer Certificate of Publication Affidavit of Insertion Affidavit of Formation Publication Proof of Service by Publication
NOTARYPRO GUARANTEE

How it Works

1

Fill out our simple
online form with your
information.

2

Review and approve
the generated
document.

3

Once your document
is ready, you can
Notarise!

Meet with a notary public and draft your document

Meet a licensed professional online to draft your document. Get it completed in minutes.

$99.95 $249.00 • Save: $149.05 (60%)
Book An Appointment
Robert Onley
Robert Onley
Featured NotaryPro Expert in Toronto
white video play button See how our experts help you draft

Contents

  • What is an Affidavit of Publication?
  • When Do You Need an Affidavit of Publication?
  • Details an Affidavit of Publication Should Contain
  • Legal and Administrative Uses of an Affidavit of Publication
  • Does an Affidavit of Publication Need to Be Commissioned?
  • Frequently Asked Questions

What is an Affidavit of Publication?

An Affidavit of Publication is a legal document that formally states that a specific publication was published and made available to the public.

These publications can include newspapers, magazines, periodicals, and official gazettes. This Affidavit functions as a sworn statement provided by the publisher, affirming the authenticity and circulation of the publication at hand.

An Affidavit of Publication can provide critical evidence in legal and administrative contexts where proof of publication is needed.

An Affidavit of Publication:

  • Confirms that the publication of a specific issue or edition was published.
  • Verifies details regarding the publication’s title, date, and content.
  • Provides evidence of the publication’s circulation and public availability.
  • Assists in legal proceedings or regulatory compliance when proof of publication is required by law.

This Affidavit is especially important when statutes or regulations require public notice of legal action, regulatory changes, or government decisions.

Clara

Do you have Questions about your Affidavit of Publication Document ?

Create Affidavit of Publication Now
This AI is experimental and may not always provide accurate information.
For personalized answers, Ask a Legal Pro.

When Do You Need an Affidavit of Publication?

In Canada, you might need a Publisher’s Affidavit of Publication in the following circumstances:

  • To fulfill legal notice requirements for public announcements, legal ads, and government notifications
  • To provide evidence of publication for compliance requirements and administrative filings
  • To support legal action or disputes for proof of public notice or publication timeline
  • To verify publication dates for matters related to copyright, public records, or licensing

Government departments and courts typically rely on published notices to demonstrate transparency and compliance with statutory requirements.

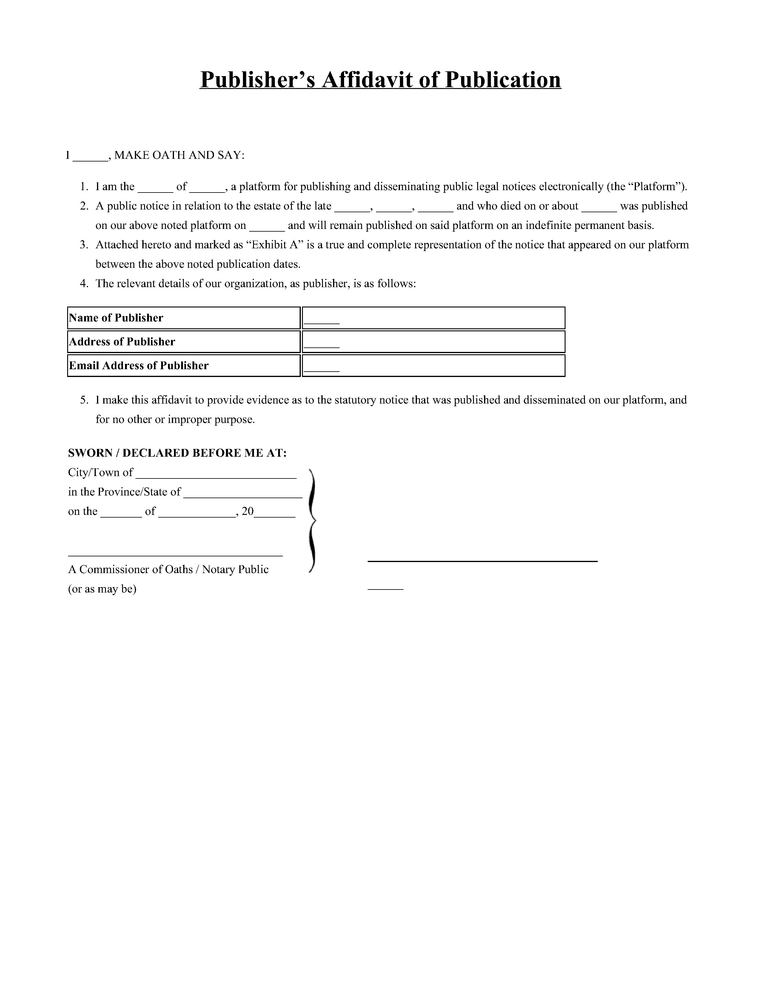
Details an Affidavit of Publication Should Contain

Your Publisher’s Affidavit should include the details below to be considered valid. Below are the typical components required for Affidavits of Publication across Canada:

  • Publisher’s information: The legal name, address, and contact details of the publisher.
  • Publication details: The title of the publication and the issue or edition being affirmed.
  • Publication content: Confirmation that the content (e.g., a notice, announcement, etc.) appeared as stated in the issue.
  • Circulation information: How and where the publication is distributed (e.g., print, online circulation, etc.).
  • Affirmation of publication: A sworn statement attesting that the publication has been made available to the public as required.
  • Signatures: Publisher’s signature, date, and affirmation that the details are true and accurate.
  • Commissioning: An authorized official’s (like a notary’s) signature and seal to certify the Affidavit’s authenticity, making it stronger as evidence.

Legal and Administrative Uses of an Affidavit of Publication

Affidavits of Publication are used in various contexts, from court to regulatory requirements. You may need one in the situations below:

Court Requirements

Probate and estate notices: When publishing estate administration notices to creditors or the public to confirm that the notice ran as legally required (e.g., to satisfy provincial estate rules).

Confirmation of publication for litigation: To prove that a legally mandated notice was publicly published, especially if a court proceeding depends on public awareness of a legal action.

Settlement notices: A requirement as part of the court record for complex litigation, like class action lawsuits.

Corporate and Administrative Public Notices

Official announcements or notifications: To prove compliance when laws or regulations specify that a notice must be published (often in newspapers and Gazettes).

Corporate law notices: Certain business or corporate actions (e.g., dissolution or restructuring) may require proof of newspaper publication to satisfy federal or provincial laws.

Regulatory compliance: Government agencies may require proof that specific public notices were issued and published to meet regulatory transparency requirements.

Zoning, hearings, and municipal actions: To confirm that public notices regarding zoning changes, public hearings, or municipal decisions were properly disseminated.

Note: This is not an exhaustive list, and an Affidavit or Publication can be required for other situations where a published notice must be supported by formal, sworn evidence.

Does an Affidavit of Publication Need to Be Commissioned?

An Affidavit of Publication must be commissioned by an authorized official, like a notary public or commissioner of oaths, to be valid.

During commissioning, you swear or affirm that the contents of your Affidavit are true before the official. You’ll sign your Affidavit while the official witnesses your signature, and they’ll sign it too. Check out our blog to learn more about the process of commissioning.

You can meet with a notary public online to have your Affidavit of Publication commissioned in 7 minutes, from anywhere.

Providing false or inaccurate information in an Affidavit may constitute perjury, a criminal offence in Canada.

Frequently Asked Questions

An Affidavit of Publication is typically used for print publications, such as newspapers. That said, some Canadian provinces now accept online publications as fulfilling notice requirements. It’s best to check the requirements of the relevant court, tribunal, or government body requesting proof of publication.

Yes, you can document multiple publications or advertisements with one Affidavit of Publication. Be sure to clearly list publication dates, contents, and identifying details for each instance.

An Affidavit of Publication serves to verify that the material was published according to requirements. It’s not designed to prove the accuracy of content.

Related Documents

Users who drafted Affidavit of Publication also made:

Affidavit
Affidavit of Publication
Preview Document Start Your Document
Thinking
Highlight clause Highlight Demo for instant explanation
Clara Explainer

Clara Explainer

NOTARYPRO GUARANTEE

Affidavit of Publication

5 Mins Filling time
PDF WORD
20+ Downloads
Start Your Free Draft

Your in-person or online Notary Public

Let us make it easy for you.

Send us a message
Site map
  • Home
  • Our Notary Services
  • Our Prices
  • Find a Document
  • Our Partners
  • Contact Us
  • About Us
  • System Status
  • Press Room
  • Careers
Services
  • Online Notary Services
  • Find a Notary
  • Find a Document
  • Service Area
For clients
  • Contact Us
  • Our Blog
  • FAQ
  • Our Reviews
  • Terms and Conditions
  • Privacy Policy
  • Data and Security
For notaries
  • Join Us
  • Training Login
  • Contact Us

Business Solutions
  • Affiliate Program
  • Online Notary Services for Business
  • Business Solutions and Volume Pricing Program

NotaryPro Technologies Inc. © 2024 All rights reserved

NotaryPro provides in-person, virtual commissioning and virtual witnessing services in compliance with the laws and regulations of Ontario, Canada. Our services are performed by licensed legal professionals, including commissioners for taking affidavits and other authorized professionals, who are duly authorized to administer oaths, affirmations, and statutory declarations in accordance with the Commissioners for Taking Affidavits Act (Ontario) and related provincial legislation.

Online or remote notarization is not yet explicitly regulated under Ontario law. As a result, NotaryPro does not provide online notarial services, including the digital notarization of documents. Any references on our platform to terms such as ""notary,"" ""online notary,"" ""notarize online,"" or similar expressions are used strictly in an informal and descriptive manner. These references relate exclusively to our legally recognized remote/virtual commissioning and virtual witnessing services, which are distinct from notarial acts.

NotaryPro is not a law firm and does not provide legal advice, legal representation, or legal opinions. While we facilitate virtual commissioning and virtual witnessing services, we do not offer legal guidance on the validity, enforceability, or acceptance of documents by third parties.

If you require legal advice regarding the execution, validity, or use of a document, we strongly recommend consulting a qualified lawyer or other legal professionals. Additionally, before proceeding with virtual commissioning, virtual witnessing, or electronic document execution, it is advisable to verify acceptance with the intended recipient(s), such as courts, government agencies, or other institutions.