NotaryPro
  • Online Notary Services
  • Find a Notary
  • Free Legal Templates
  • For Business
  • Sign In
  • Get Started
Book Now
Try Online Notary
NotaryPro
  • Online Notary Services
  • Find a Notary
  • Free Legal Templates
  • For Business
  • Sign In
  • Get Started
  • Home
  • Notary Public Services
    • Services Overview
    • Online Notary Services
    • Find a Notary Near You
    • Notary for Real Estate Closings
    • Authentication & Legalization (Apostille Certification)
    • Mobile Notary
    • Wills & Power of Attorney
  • For Businesses
    • Online Notary Services for Business
    • Bulk Savings: Bulk Notary Service Packages
    • Notary Services for Construction
    • Notary Services for Real Estate
    • Affiliate Program
    • Clio Integration Landing Page
  • Free Legal Templates
  • Prices
  • Resources
    • Articles & Guides
    • Our Partners
    • Learning Center
    • About Us
  • Contact Us
Notarize online Find a notary Join our team Business Sign In
Menu plume
1 888 313 0909 [email protected]
Home Templates Identity & Personal Status Free Single Status Affidavit Template
1959+ People have utilised this Template

Free Single Status Affidavit Template

A formal sworn statement used to verify that an individual is not currently married. Essential for citizens planning to marry in a foreign country, this template outlines your identity, residency, and current marital eligibility. Formatted for easy notarization and submission to government authorities.

PDF
Word
Start For Free Pay only when you Notarise
NOTARYPRO GUARANTEE
Preview

Related Documents

Users who drafted Single Status Affidavit also made:

Statutory Declaration
Service Canada Separation of Legal Spouses or Common-law Partners
Other Names: Affidavit of Single Status Affidavit of No Impediment to Marriage Certificate of Freedom to Marry Affidavit of Eligibility to Marry Certificate of Non-Impediment (CNI) Bachelorhood / Singlehood Certificate Cenat (Certificate of No Record of Marriage)
NOTARYPRO GUARANTEE

How it Works

1

Fill out our simple
online form with your
information.

2

Review and approve
the generated
document.

3

Once your document
is ready, you can
Notarise!

Contents

  • What is a Single Status Affidavit?
  • When Do You Need a Single Status Affidavit?
  • Details a Single Status Affidavit Should Contain
  • Signing Your Single Status Affidavit with a Notary
  • Signing Recommendations for International Acceptance
  • Frequently Asked Questions

What is a Single Status Affidavit?

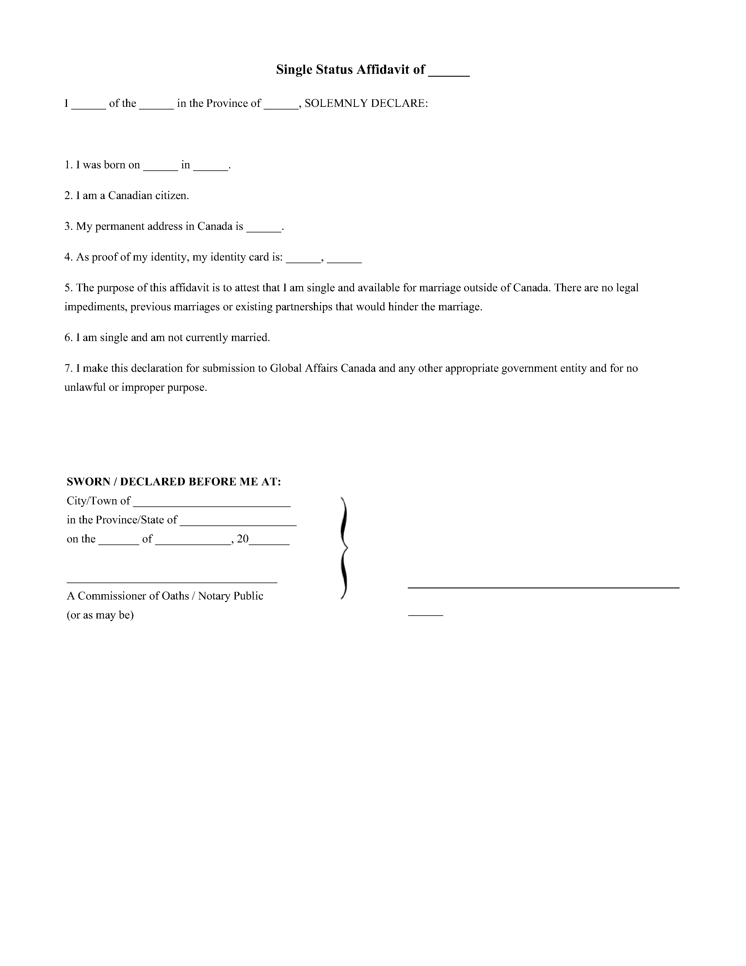
A Single Status Affidavit is a legal document that demonstrates you are free to marry in a foreign country. This means there are no legal barriers preventing marriage under Canadian law, including marital status or legal capacity to marry.

You must swear or affirm that you’re single before an authorized official, like a notary, and have them witness you signing the Affidavit. Essentially, a Single Status Affidavit serves as an official statement confirming your eligibility and legal capacity to marry abroad.

This Affidavit shows foreign officials that you are:

  • free to marry and meet the legal requirements for marriage; and
  • face no legal impediments, such as previous marriages or existing partnerships, that would hinder the marriage.

Note: This document must be notarized in person. Many international authorities do not accept Single Status Affidavits if they are commissioned online.*

Clara

Do you have Questions about your Single Status Affidavit Document ?

Create Single Status Affidavit Now
This AI is experimental and may not always provide accurate information.
For personalized answers, Ask a Legal Pro.

When Do You Need a Single Status Affidavit?

You may need a Single Status Affidavit in various situations, such as:

  • Getting married in a foreign country that requires official proof of eligibility or absence of legal impediments to marriage.
  • Applying for a marriage license or registration in a different country.
  • Providing a Canadian embassy or consulate with proof of single status to obtain a marriage license.

It’s best to contact the destination country’s embassy or consulate to confirm whether you need a Single Status Affidavit. You can also speak with the Canadian embassy or consulate in the destination country to confirm any additional requirements.

Details a Single Status Affidavit Should Contain

You’ll need to provide the following information in your Single Status Affidavit:

  • Your information: Full name, address, contact details, and relationship status.
  • Jurisdiction and intent: Declaration of your intention to marry in a specific foreign country and acknowledgment of its legal requirements.
  • Details of eligibility: Confirmation of your eligibility to marry, including marital status, age, and legal capacity.
  • Absence of impediments: Swearing or affirming that no legal impediments, such as existing marriages, exist that would hinder the proposed marriage.
  • Supporting documentation: Any necessary supporting documents, such as a valid passport or proof of single status.
  • Your Signature: Your signature, the date, and an affirmation that the information you provided is true and accurate.
  • A Notary’s Signature: A notary’s signature and seal certifies the authenticity of the document.

Signing Your Single Status Affidavit with a Notary

An authorized official, such as a notary, must witness you signing the Single Status Affidavit during notarization. They''ll ask you to swear or affirm that the contents of your Affidavit are true, and they’ll sign it to make everything official.

Not only is notarization legally required, but it’s also essential to ensure the credibility and authenticity of your Affidavit.

This document must be signed in person; see our network of 300+ in-person notaries and book an appointment near you today.

Signing Recommendations for International Acceptance

We recommend signing your Affidavit in person, as some countries do not accept online signatures. In many cases, foreign authorities prefer notarization by a notary public, as notaries often have broader international recognition than commissioners of oaths.

Frequently Asked Questions

Many countries recognize documents notarized by Canadian notaries. That said, the acceptance of a Single Status Affidavit depends on the laws and requirements of the destination country. Some countries require additional authentication, like an apostille or legalization. It’s best to consult the relevant foreign embassy, consulate, or government authority to confirm requirements before submitting your Affidavit.

Some countries require a separate Affidavit for each marriage. Others may accept a single document for multiple marriages occurring within a specific timeframe. It’s best to consult the destination country's authorities to determine their particular requirements.

Most countries require additional documentation if you’re divorced. This can include a divorce certificate or decree absolute to prove the dissolution of a previous marriage. Always check the destination country’s specific requirements to ensure you’re prepared.

In Canada, a Single Status Affidavit is often used instead of a Certificate of Non-Impediment, which Canada doesn’t issue. Some foreign countries use different terminology for proof of eligibility to marry, but a Single Status Affidavit is commonly accepted as the Canadian equivalent. It’s best to confirm with the destination country.

Many foreign authorities require a Single Status Affidavit to be issued within a specific timeframe, such as within 3 to 6 months. Even if the information remains accurate, older Affidavits may be rejected.

Related Documents

Users who drafted Single Status Affidavit also made:

Statutory Declaration
Service Canada Separation of Legal Spouses or Common-law Partners
Single Status Affidavit
Preview Document Start Your Document
Thinking
Highlight clause Highlight Demo for instant explanation
Clara Explainer

Clara Explainer

NOTARYPRO GUARANTEE

Single Status Affidavit

4 Mins Filling time
PDF WORD
1959+ Downloads
Start Your Free Draft

Your in-person or online Notary Public

Let us make it easy for you.

Send us a message
Site map
  • Home
  • Our Notary Services
  • Our Prices
  • Find a Document
  • Our Partners
  • Contact Us
  • About Us
  • System Status
  • Press Room
  • Careers
Services
  • Online Notary Services
  • Find a Notary
  • Find a Document
  • Service Area
  • Create your Will
For clients
  • Contact Us
  • Our Blog
  • FAQ
  • Our Reviews
  • Terms and Conditions
  • Privacy Policy
  • Data and Security
For notaries
  • Join Us
  • Training Login
  • Contact Us

Business Solutions
  • Affiliate Program
  • Online Notary Services for Business
  • Business Solutions and Volume Pricing Program

NotaryPro Technologies Inc. © 2024 All rights reserved

NotaryPro provides in-person, virtual commissioning and virtual witnessing services in compliance with the laws and regulations of Ontario, Canada. Our services are performed by licensed legal professionals, including commissioners for taking affidavits and other authorized professionals, who are duly authorized to administer oaths, affirmations, and statutory declarations in accordance with the Commissioners for Taking Affidavits Act (Ontario) and related provincial legislation.

Online or remote notarization is not yet explicitly regulated under Ontario law. As a result, NotaryPro does not provide online notarial services, including the digital notarization of documents. Any references on our platform to terms such as ""notary,"" ""online notary,"" ""notarize online,"" or similar expressions are used strictly in an informal and descriptive manner. These references relate exclusively to our legally recognized remote/virtual commissioning and virtual witnessing services, which are distinct from notarial acts.

NotaryPro is not a law firm and does not provide legal advice, legal representation, or legal opinions. While we facilitate virtual commissioning and virtual witnessing services, we do not offer legal guidance on the validity, enforceability, or acceptance of documents by third parties.

If you require legal advice regarding the execution, validity, or use of a document, we strongly recommend consulting a qualified lawyer or other legal professionals. Additionally, before proceeding with virtual commissioning, virtual witnessing, or electronic document execution, it is advisable to verify acceptance with the intended recipient(s), such as courts, government agencies, or other institutions.