NotaryPro
  • Online Notary Services
  • Find a Notary
  • Free Legal Templates
  • For Business
  • Sign In
  • Get Started
Book Now
Try Online Notary
NotaryPro
  • Online Notary Services
  • Find a Notary
  • Free Legal Templates
  • For Business
  • Sign In
  • Get Started
  • Home
  • Notary Public Services
    • Services Overview
    • Online Notary Services
    • Find a Notary Near You
    • Notary for Real Estate Closings
    • Authentication & Legalization (Apostille Certification)
    • Mobile Notary
    • Wills & Power of Attorney
  • For Businesses
    • Online Notary Services for Business
    • Bulk Savings: Bulk Notary Service Packages
    • Notary Services for Construction
    • Notary Services for Real Estate
    • Affiliate Program
    • Clio Integration Landing Page
  • Free Legal Templates
  • Prices
  • Resources
    • Articles & Guides
    • Our Partners
    • Learning Center
    • About Us
  • Contact Us
Notarize online Find a notary Join our team Business Sign In
Menu plume
1 888 313 0909 [email protected]
Home Templates Identity & Personal Status Free Certificate of Incumbency Template
49+ People have utilised this Template

Free Certificate of Incumbency Template

A corporate document used to confirm the identity and authority of a company’s directors and officers. Essential for banking, real estate transactions, and legal contracts. This template includes a table for names, titles, and specimen signatures to verify authorized signatories for the corporation.

PDF
Word
Start For Free Pay only when you Notarise
NOTARYPRO GUARANTEE
Preview

Meet with a notary public and draft your document

Meet a licensed professional online to draft your document. Get it completed in minutes.

$99.95 $249.00 • Save: $149.05 (60%)
Book An Appointment
Robert Onley
Robert Onley
Featured NotaryPro Expert in Toronto
white video play button See how our experts help you draft

Related Documents

Users who drafted Certificate of Incumbency also made:

CRA Affidavit - Transfer of a Small Business or Corporation
Letter of Authorization for Vehicle Pickup
General Power of Attorney
Letter of Authorization
Board Resolution
Partnership Agreement
Other Names: Officer’s Certificate Secretary’s Certificate Register of Directors and Officers Omnibus Certificate List of Signing Officers Authorized Signatory List (ASL) Registered Agent’s Certificate
NOTARYPRO GUARANTEE

How it Works

1

Fill out our simple
online form with your
information.

2

Review and approve
the generated
document.

3

Once your document
is ready, you can
Notarise!

Meet with a notary public and draft your document

Meet a licensed professional online to draft your document. Get it completed in minutes.

$99.95 $249.00 • Save: $149.05 (60%)
Book An Appointment
Robert Onley
Robert Onley
Featured NotaryPro Expert in Toronto
white video play button See how our experts help you draft

Contents

  • What is a Certificate of Incumbency?
  • What is the Purpose of a Certificate of Incumbency?
  • What Does “Authority to Act” Mean?
  • Third Parties Who May Request a Certificate of Incumbency
  • Who Can Sign a Certificate of Incumbency?
  • Details to Include in Your Certificate of Incumbency
  • Which Entities Can Issue this Certificate?
  • Commissioning a Certificate of Incumbency
  • Draft and Commission Your Certificate Today
  • Frequently Asked Questions

What is a Certificate of Incumbency?

A Certificate of Incumbency is a corporate document that confirms the authority and status of individuals holding key positions within a company. It outlines which individuals hold significant positions and have the authority to act on its behalf. This certificate may be required by financial institutions, regulatory bodies, or other entities for various business transactions.

This Certificate is also sometimes known as an:

  • Incumbency Certificate
  • Officer Certificate
  • Secretary’s Certificate
Clara

Do you have Questions about your Certificate of Incumbency Document ?

Create Certificate of Incumbency Now
This AI is experimental and may not always provide accurate information.
For personalized answers, Ask a Legal Pro.

What is the Purpose of a Certificate of Incumbency?

This document lists the individuals authorized to act on behalf of their organization. It helps third parties verify an individual’s authority to represent a company when facilitating various processes and transactions.

A Certificate of Incumbency serves multiple purposes, including:

  • Preserving corporate governance: It verifies the authority of individuals within a company, facilitating transparency and accountability.
  • Authorizing Legal Transactions: It helps complete corporate transactions like mergers, acquisitions, or financing arrangements.
  • Validating Banking and Financial Processes: It facilitates loan approvals, corporate account openings, and more.
  • Supporting International Transactions: It confirms a person’s authority to sign off on international transactions.

What Does “Authority to Act” Mean?

Authority to act refers to the powers a corporation has formally given an individual through its bylaws, resolutions, or governing documents. This authority may allow an individual to take the following actions:

  • Sign contracts, agreements, or filings on behalf of the corporation
  • Represent the corporation in dealings with regulators, banks, or counterparties
  • Make binding decisions
  • Carry out specific actions authorized by corporate resolutions or policies

Note: A Certificate of Incumbency does not create authority. It only confirms authority that already exists. Who Can Be Named in a Certificate of Incumbency? A Certificate of Incumbency typically lists any of the following individuals:

  • President or Chief Executive Officer
  • Managing Director
  • Corporate Secretary
  • Treasurer or Chief Financial Officer
  • Directors
  • Other senior officers or authorized signatories
    • As permitted by the company’s bylaws or resolutions

Third Parties Who May Request a Certificate of Incumbency

The following organizations may require you to provide a Certificate of Incumbency:

  • Government offices
  • Regulatory bodies
  • Banks and financial institutions
  • Contractual counterparties (other businesses, etc.)
  • Law firms and legal representatives
  • Courts and tribunals
  • Corporate service providers
  • Insurance companies
  • Investors, lenders, or funding bodies
  • Educational institutions and research partners
  • Non-profit or charitable oversight bodies

Protecting Third Parties

Confirmation that a person has proper authority also protects third parties by:

  • Reducing reliance risk (i.e. trusting that someone has the authority they claim to have)
  • Creating legal accountability for inaccurate representations made by the corporation
  • Supporting the enforceability of contracts if the authority is challenged later

Let’s say a dispute arises, and the corporation claims that a certain person didn’t have the authority to act. A Certificate of Incumbency provides evidence that:

  • An individual had the authority to act at the time of signing
  • Individuals named in the Certificate were with the company at the time of the action
  • A third party acted in good faith

Who Can Sign a Certificate of Incumbency?

The following list of individuals can sign a Certificate of Incumbency:

  • A director
  • A corporate officer with signing authority (e.g., president, CEO, secretary, treasurer)
  • An individual authorized to certify corporate records (e.g., a corporate secretary)

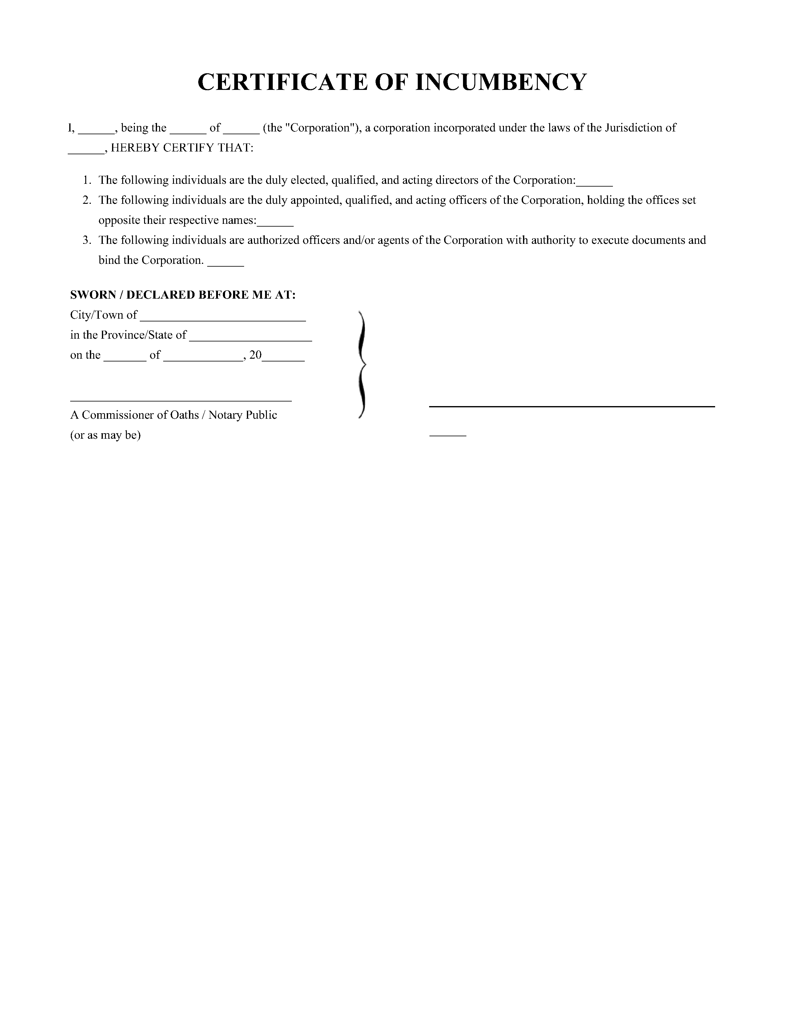
Details to Include in Your Certificate of Incumbency

A Certificate of Incumbency contains information about an organization’s incumbent individuals, including its officers, directors, and other leaders. Include each authorized person’s name and position within your company.

Here are some specific details you’ll want to include in your Certificate of Incumbency:

  • The corporation’s legal name
  • Authorized individuals’ names, titles, and signatures
  • The date
  • The province where the signing took place (indicating which laws apply)
  • The corporation’s jurisdiction of incorporation
  • Confirmation that the individuals named currently hold the stated positions
  • Statement that bylaws or resolutions authorize the authority

Which Entities Can Issue this Certificate?

The following registered entities may issue this Certificate:

  • Corporations
  • Non-profit corporations
  • Charitable organizations
  • Limited partnerships
  • Limited liability partnerships
  • Extra-provincial corporations (foreign corporations registered to do business in a province)
  • Professional corporations (law, accounting, etc.)
  • Crown corporations or government-owned entities (where permitted)
  • Trusts (a trustee must prove authority to sign)
  • Joint ventures (when structured as a registered entity)

General partnerships don’t typically rely on this Certificate in the same way, as partners in a partnership usually have inherent authority under partnership law. However, third parties may still request a similar document to confirm authority, especially when:

  • Authority is restricted by a Partnership Agreement
  • Only certain partners may bind the partnership

Commissioning a Certificate of Incumbency

A Certificate of Incumbency can be commissioned by an authorized official, like a notary public or commissioner of oaths. This step may be mandatory, depending on the recipient organization’s requirements. It’s best to check with the third party requesting this Certificate.

That said, we highly recommend having your Certificate of Incumbency commissioned. This strengthens the document''s validity if disputes ever arise down the road.

You can meet with a notary online to have your Certificate of Incumbency commissioned in 7 minutes, from anywhere with a Wi-Fi connection.

How Commissioning Your Certificate Works

You can commission your Certificate online through a secure video appointment. During your online notary appointment, the following will take place:

  • You’ll present a piece of valid, government-issued ID to verify your identity.
  • You’ll swear or affirm that the contents of your Certificate are true.
  • You’ll confirm that you understand the document and are signing voluntarily.
  • You’ll sign and date the Certificate while a notary witnesses in real time.
  • A notary signs and applies their official stamp or seal.

To learn more about the commissioning process, check out our guide.

Draft and Commission Your Certificate Today

Now it’s time to take the next step! Use our free Certificate of Incumbency template to draft your document in minutes. Then, meet with a notary public online to have your Certificate of Incumbency commissioned in under 7 minutes!

Frequently Asked Questions

Various parties, including banks, financial institutions, business partners, and government agencies, might request one. They might do so to verify a company’s current officers, directors, and sometimes, other authorized signatories for legal and financial purposes.

Many recipients require a Certificate of Incumbency to be recent. This typically means that it’s dated within the last 30–90 days.

A Certificate of Incumbency shows who holds authority to act within the corporation. An Affidavit of Corporate Signing Authority confirms that a particular person has the authority to sign a document.

Related Documents

Users who drafted Certificate of Incumbency also made:

CRA Affidavit - Transfer of a Small Business or Corporation
Letter of Authorization for Vehicle Pickup
General Power of Attorney
Letter of Authorization
Board Resolution
Partnership Agreement
Certificate of Incumbency
Preview Document Start Your Document
Thinking
Highlight clause Highlight Demo for instant explanation
Clara Explainer

Clara Explainer

NOTARYPRO GUARANTEE

Certificate of Incumbency

7 Mins Filling time
PDF WORD
49+ Downloads
Start Your Free Draft

Your in-person or online Notary Public

Let us make it easy for you.

Send us a message
Site map
  • Home
  • Our Notary Services
  • Our Prices
  • Find a Document
  • Our Partners
  • Contact Us
  • About Us
  • System Status
  • Press Room
  • Careers
Services
  • Online Notary Services
  • Find a Notary
  • Find a Document
  • Service Area
For clients
  • Contact Us
  • Our Blog
  • FAQ
  • Our Reviews
  • Terms and Conditions
  • Privacy Policy
  • Data and Security
For notaries
  • Join Us
  • Training Login
  • Contact Us

Business Solutions
  • Affiliate Program
  • Online Notary Services for Business
  • Business Solutions and Volume Pricing Program

NotaryPro Technologies Inc. © 2024 All rights reserved

NotaryPro provides in-person, virtual commissioning and virtual witnessing services in compliance with the laws and regulations of Ontario, Canada. Our services are performed by licensed legal professionals, including commissioners for taking affidavits and other authorized professionals, who are duly authorized to administer oaths, affirmations, and statutory declarations in accordance with the Commissioners for Taking Affidavits Act (Ontario) and related provincial legislation.

Online or remote notarization is not yet explicitly regulated under Ontario law. As a result, NotaryPro does not provide online notarial services, including the digital notarization of documents. Any references on our platform to terms such as ""notary,"" ""online notary,"" ""notarize online,"" or similar expressions are used strictly in an informal and descriptive manner. These references relate exclusively to our legally recognized remote/virtual commissioning and virtual witnessing services, which are distinct from notarial acts.

NotaryPro is not a law firm and does not provide legal advice, legal representation, or legal opinions. While we facilitate virtual commissioning and virtual witnessing services, we do not offer legal guidance on the validity, enforceability, or acceptance of documents by third parties.

If you require legal advice regarding the execution, validity, or use of a document, we strongly recommend consulting a qualified lawyer or other legal professionals. Additionally, before proceeding with virtual commissioning, virtual witnessing, or electronic document execution, it is advisable to verify acceptance with the intended recipient(s), such as courts, government agencies, or other institutions.