Board Resolution | Free Template
How it Works
Fill out our simple
online form with your
information.
Review and approve
the generated
document.
Once your document
is ready, you can
Notarise!
Contents
-
What is a Board Resolution?
-
Purpose and Legal Effect of a Board Resolution
-
How Board Resolutions are Adopted
-
Details Required in a Board Resolution
-
Commissioning a Board Resolution
-
Frequently Asked Questions
What is a Board Resolution?
A Board Resolution is a corporate document that formally details decisions made by your company’s board of directors. It outlines the outcome of board deliberations and authorizes specific actions on behalf of your company. Board Resolutions are used to record decisions, when they were made, and the authority under which they were approved.
A Board Resolution is typically stored in your corporation’s minute book, along with other essential documents, including bylaws, articles, and meeting minutes. While directors can make decisions through discussion or a board meeting vote, a Board Resolution formalizes those decisions in writing. This ensures decisions are documented correctly and enforceable.
A Board Resolution is also known as:
- Directors’ Resolution
- Resolution of the Board of Directors
- Written Resolution of the Directors (when passed without a meeting)
Do you have Questions about your Board Resolution Document ?
Purpose and Legal Effect of a Board Resolution
Board Resolutions clearly document critical corporate decisions with significant legal, financial, and operational consequences. Documenting these decisions helps build accountability, transparency, and compliance. Documentation is also important if the corporation’s actions are reviewed by regulators, auditors, courts, lenders, or other third parties.
A Board Resolution is legally valid when approved in accordance with your company’s rules and applicable laws. This means the board complied with your company’s bylaws and applicable Canadian corporate laws.
When a Board Resolution is legally valid, the decisions outlined in it:
- Count under the law
- Can be relied on by the company and others
- Protect the corporation and its directors if the decision is questioned later
Boards often adopt formal resolutions for important decisions, especially those concerning legal or financial obligations. A Board Resolution serves the following purposes:
- Formally records decisions, policies, or actions approved by the board of directors
- Provides officers, employees, and other stakeholders with clarity and direction
- Demonstrates compliance with corporate law and internal governance
- Provides evidence that the board exercised its authority appropriately
- Helps protect the business and its directors if decisions are ever scrutinized
How Board Resolutions are Adopted
Board Resolutions can be adopted in two ways, depending on the corporation’s governing documents and applicable law:
- At a board meeting: The Resolution is presented, discussed, and approved by vote. This process is typically recorded in the meeting minutes.
- By written Resolution: The Resolution is signed by every director entitled to vote, rather than by holding a meeting.
In each case, the Resolution must comply with the corporation’s applicable bylaws or articles, including quorum, voting thresholds, and procedural requirements.
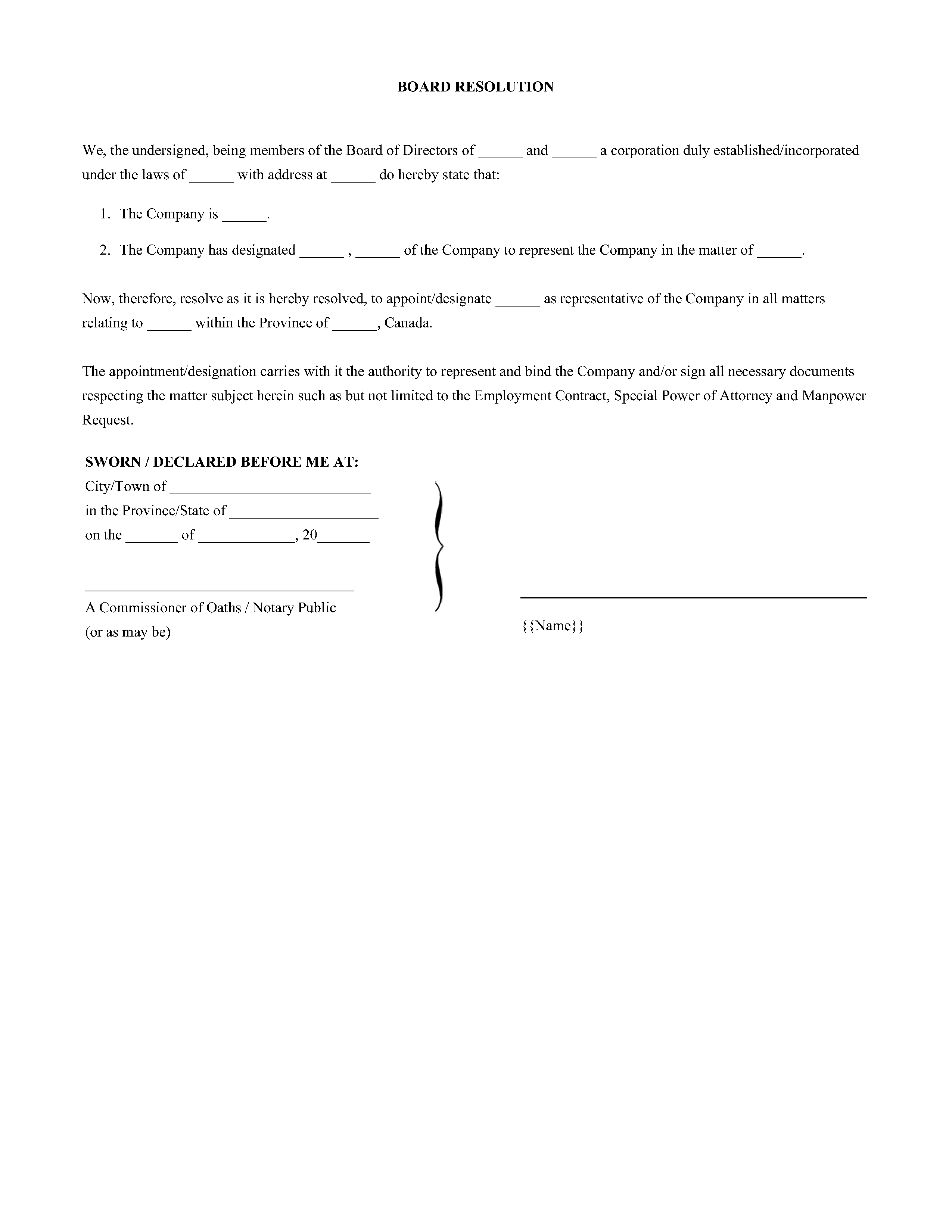
Details Required in a Board Resolution
A standard Board Resolution typically contains the following information:
- Your corporation’s legal name and jurisdiction of incorporation
- The date the Resolution was approved
- Clear, specific wording setting out the decision or authorization
- Any applicable limits, conditions, or directions associated with the decision
- Confirmation of board approval
- The names and signatures of directors or officers entitled to vote or by the required majority, depending on the corporation’s bylaws.
Board Resolutions are retained as part of the corporation’s permanent records and may be required to demonstrate that corporate actions were properly authorized.
Commissioning a Board Resolution
Commissioning a Board Resolution adds an additional layer of authenticity, even if commissioning isn’t legally needed for it to be effective. Commissioning is especially beneficial when a third party (e.g., a bank, lender, government authority) requests additional verification. A commissioned Board Resolution can fast-track approvals and reduce follow-up requests.
You can meet with a notary online to have your Board Resolution commissioned in 7 minutes, from anywhere with Wi-Fi.
How Commissioning Your Board Resolution Works
You can commission your Board Resolution online through a secure video appointment. During your online notary appointment, the following will take place:
- You’ll present a piece of valid, government-issued ID to verify your identity.
- You’ll confirm that you understand the document and are signing voluntarily.
- You’ll sign and date the Board Resolution while a notary witnesses in real time.
- A notary signs and applies their official stamp or seal.
To learn more about the commissioning process, check out our guide.
Note: Knowingly providing false or misleading information in corporate records may have legal consequences.
Frequently Asked Questions
NoteBoard Resolutions govern decisions made by directors and are distinct from Shareholder Resolutions, which approve matters reserved to shareholders.
A Board Resolution is typically signed by all directors entitled to vote, or by the required majority, depending on the corporation’s bylaws.